邮箱

info@applytest.com

 

热线

400-8383-040

 

联系我们

技术支持

 

售前咨询

 

测量原理

 

球坑法,也称为杯形研磨法或“Calotest”,是一种用于测量涂层厚度的技术:

- 将样品放置在带有磨料浆(如金刚石悬浮液或金刚石研磨膏)的旋转钢球下方。

- 钢球在样品表面磨出一个球形凹槽,称为“球冠坑”。研磨时间取决于涂层类型、厚度和耐磨性,通常在几秒钟到几分钟之间。
- 当涂层被完全研磨穿透后,可在显微镜下对形成的球冠坑进行分析。各涂层会呈现为同心圆环或椭圆环状结构,从而实现对各层厚度的精确测量。

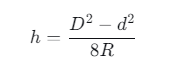
平面样品的涂层厚度测量

D: 外径(平面样品)或外对角线(圆柱形样品)

d: 内径(平面样品)或内对角线(圆柱形样品)

R: 球半径

h: 层厚度

T: 研磨深度

圆柱形样品的涂层厚度测量

优势:

- 操作简单     无需任何专业知识

- 快速高效     无需制备样品,几分钟内即可获得测量结果 

- 多功能    可测量单层以及多层镀层

- 高精度     层扩展效应

- 不受材料影响    原则上适用于所有基材/涂层组合

- 不受样品形状影响      测量结果不受样品形状影响(适用平面、圆柱形、球形和椭球型样品)

- 可追溯性    通过直接测量可,用户可以清晰地看到结果是如何产生的

应用领域:

- PVD涂层

- CVD涂层

- 金属涂层

- 电镀涂层

- 化学涂层

- 聚合物涂层

- 油漆涂层(硬化)

- 装饰性涂层

- 氧化涂层

- 其他

应用实例:

应用 #4

Cr/Ni/Cu/Zn 合金

Cr+Ni = 15.04 um

Cu = 28.83 um

应用 #5

Ni/Cu/Ni/ NdFeB 磁体

顶部 Ni = 5.16 um

Cu = 3.38 um

底部 Ni = 7.58 um

应用 #6

TCL/IPL/PC plastics

TCL = 13.18 um

IPL = 2.3 um

应用 #1

TiN/金属

TiN = 1.63 um

应用 #3

环氧树脂/Cu/Fe

环氧树脂 = 9.26 um

I中间层 = 4.10 um

Cu = 5.49 um

应用 #2

油漆/塑料

油漆层 1 = 43.33 um

油漆层 2 = 5.03 um

相关产品